超级精制泊洛沙姆188:单抗与AAV基因疗法的稳定基石
引言
在生物制剂表面活性剂大家族中,除了主流低度高效的聚山梨酯系列,泊洛沙姆类也成为热门选手,尤其是泊洛沙姆188。
在生物药上游的细胞培养领域,它作为剪切保护剂,可被添加到哺乳动物细胞培养基中,保护细胞免受生物反应器搅拌引起的剪切应力的影响;在生物制剂配方开发中,可用于稳定生物大分子,减少蛋白聚集,并保护药物免受界面应力的影响,成为单克隆抗体、融合蛋白和基于腺相关病毒(AAV)的基因疗法等敏感生物药的理想选择。
泊洛沙姆化学特性
PEO-PPO-PEO结构优势
泊洛沙姆188是一种非离子型三嵌段共聚物,化学结构为聚氧乙烯-聚氧丙烯-聚氧乙烯(PEO-PPO-PEO)。这种结构不仅赋予它优异的表面活性,更使其能够在多种应力环境下有效保护蛋白质分子,防止聚集和变性。
当蛋白质在搅拌、冻融、灌装等过程中发生部分展开时,其内部疏水区域会暴露于水相环境中。此时,泊洛沙姆188的PPO嵌段优先与这些疏水区域结合,而PEO嵌段则伸向水相,形成空间位阻屏障,从而有效阻止多个蛋白分子之间的聚集。
抗界面应力:保护蛋白免收机械损伤
泊洛沙姆188具有极低的临界胶束浓度(CMC),能快速吸附到新生界面,形成一层致密的保护膜,抢占原本会被蛋白质占据的位置,从而减少蛋白在界面上的吸附和结构损伤。
化学稳定性强,抗水解与抗酶解优势
与常用的聚山梨酯类表面活性剂不同,泊洛沙姆188不含酯键,其主链为聚醚结构。因此它不易被水分子水解,不被脂肪酶降解。
Croda禾大Super Refined™ Poloxamer 188
Super Refined™ Poloxamer 188(超级精制泊洛沙姆)是Croda禾大Super Refined™超级精制系列产品中的一种高纯度表面活性剂,专为提升注射制剂的稳定性和性能而设计。
凭借大量生物制剂稳定性研究数据支持,Super Refined™ Poloxamer 188(超级精制泊洛沙姆188)展现出卓越的性能,并作为高纯度、注射级辅料,我们提供强力的法规注册支持。超级精制泊洛沙姆188是生物制剂中聚山梨酯类辅料的可靠替代选择。
Super Refined™ Poloxamer 188(超级精制泊洛沙姆188)核心优势
Super Refined™泊洛沙姆188,采用Croda禾大独有的工艺,超高纯度,性能卓越,具有众多核心优势:
- 符合多国药典(美国、欧洲、日本、中国申请中),按照cGMP规范生产,并通过EXCiPACT认证,且已列入FDA惰性成分数据库(IID),可用于注射剂配方开发,加速产品多国上市进程
- 在mAb单抗等生物制剂中验证有效,能稳定蛋白质结构,防止聚集和降解
- 可作为聚山梨酯的可靠替代,表现出对水解和酶解降解的抵抗力
- 通过严格控制的杂质谱,实现出色的批次间一致性
- 基于Croda禾大几十年的泊洛沙姆合成与纯化技术的深厚工艺壁垒
- 符合Super Refined™系列的严苛标准,包装升级,更加坚固。提供完整的监管文件及超出药典要求的额外质量检测
实力验证
Super Refined™ 泊洛沙姆188显著提升单抗稳定性:阿达木单抗案例
在为期超过60天的轻柔搅动过程中,Super Refined™ 泊洛沙姆188展现出最高的mAb稳定性,能够比聚山梨酯、聚乙二醇(PEG)类表面活性剂及其他替代品更有效地维持阿达木单抗单体峰的完整性。这表明该辅料在抵御由机械应力(如搅动、运输振动等)引发的蛋白聚集和变性方面具有显著的保护效果。

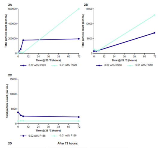
Super Refined™ 泊洛沙姆188具有抗酶降解特性
聚山梨酯类辅料在脂肪酶存在下易发生酶促降解,有时会导致可见颗粒的生成。而Super Refined™ Poloxamer 188(超级精制泊洛沙姆188)在72小时内未出现任何降解或颗粒物形成,表明其在可能接触宿主细胞残留脂肪酶的制剂中具有出色的稳定性,适用于此类高风险场景。
这一特性使其在重组蛋白、单抗及基因治疗等生物药开发中更具优势,尤其适用于存在残留宿主细胞蛋白(如CHO细胞来源脂肪酶)风险的注射剂型,能有效降低因辅料降解引发的安全性与稳定性问题。

生物制剂应用领域
Super Refined™ Poloxamer 188(超级精制泊洛沙姆188)专为敏感蛋白和病毒载体的制剂开发而设计,可帮助您解决以下关键挑战:
- 由界面应力引发的蛋白聚集问题
- 因辅料批间差异导致高价值生物药不稳定的问题
- 聚山梨酯类辅料降解带来的制剂挑战
- AAV及蛋白质在操作、灌装和长期储存过程中的敏感性问题
如您对我们的产品感兴趣,请点击下方申请样品
Super Refined™ Poloxamer 提高生物制剂配方的稳定性